Creates functions to get track and artist features from Spotify’s API using Spotipy Package. After getting the required track and artist features, it creates a pandas database with the requested variables. Finally, Exploratory Data Analysis is carried out.
Spotipy Package can be found at: https://spotipy.readthedocs.io
Our data consist of two primary databases which both are from the same source, Spotify. The primary source is the Million Playlist Dataset and our secondary source is data taken from Spotify’s Web API, this latter one is used to compliment the primary source of data.
Base Dataset: Million Playlist Dataset Our base data consists of a set of music playlists obtained from Spotify’s “The Million Playlist Dataset”. The size of this dataset is approximately 5.4 GB, and its general format is the following:

For EDA purposes, we focused on 1000 playlists in order to get a quick understanding of the structure of the data. A sample of the raw format of the data is as follows:

From the base dataset, we can extract the following useful track information within any playlist:
This dataset does not contain enough meaningful information about the tracks, but it does contain enough information for us to search additional databases for complementary data. We obtained a unique Spotify song identifier called “track_uri” and a unique Spotify artist identifier called “artist_uri” which we used to obtain additional data from Spotify’s web API.
Second Dataset: Spotify Web API In order to obtain more meaningful and descriptive variables about each of the tracks that we sample, we interfaced with Spotify’s web API where the following information about any song can be obtained:
| song_uri | duration_ms | time_signature | key | tempo | energy | mode | loudness | speechiness | danceability | acousticness | instrumentalness | valence | liveness | artist_followers | artist_uri | artist_name | artist_popularity | g1 | g2 | g3 | g4 | g5 | g6 | g7 | g8 | g9 | g10 | g11 | g12 | g13 | g14 | g15 | g16 | g17 | g18 | g19 | g20 | g21 | g22 | g23 | g24 | g25 | g26 | g27 | g28 | g29 | g30 | |
|---|---|---|---|---|---|---|---|---|---|---|---|---|---|---|---|---|---|---|---|---|---|---|---|---|---|---|---|---|---|---|---|---|---|---|---|---|---|---|---|---|---|---|---|---|---|---|---|---|
| 0 | spotify:track:0UaMYEvWZi0ZqiDOoHU3YI | 226864 | 4 | 4 | 125.461 | 0.813 | 0 | -7.105 | 0.1210 | 0.904 | 0.03110 | 0.006970 | 0.810 | 0.0471 | 908087 | spotify:artist:2wIVse2owClT7go1WT98tk | Missy Elliott | 76 | dance pop | hip hop | hip pop | pop | pop rap | r&b | rap | southern hip hop | urban contemporary | None | None | None | None | None | None | None | None | None | None | None | None | None | None | None | None | None | None | None | None | None |
| 1 | spotify:track:6I9VzXrHxO9rA9A5euc8Ak | 198800 | 4 | 5 | 143.040 | 0.838 | 0 | -3.914 | 0.1140 | 0.774 | 0.02490 | 0.025000 | 0.924 | 0.2420 | 5450023 | spotify:artist:26dSoYclwsYLMAKD3tpOr4 | Britney Spears | 82 | dance pop | pop | post-teen pop | None | None | None | None | None | None | None | None | None | None | None | None | None | None | None | None | None | None | None | None | None | None | None | None | None | None | None |
| 2 | spotify:track:0WqIKmW4BTrj3eJFmnCKMv | 235933 | 4 | 2 | 99.259 | 0.758 | 0 | -6.583 | 0.2100 | 0.664 | 0.00238 | 0.000000 | 0.701 | 0.0598 | 16661148 | spotify:artist:6vWDO969PvNqNYHIOW5v0m | Beyoncé | 87 | dance pop | pop | post-teen pop | r&b | None | None | None | None | None | None | None | None | None | None | None | None | None | None | None | None | None | None | None | None | None | None | None | None | None | None |
| 3 | spotify:track:1AWQoqb9bSvzTjaLralEkT | 267267 | 4 | 4 | 100.972 | 0.714 | 0 | -6.055 | 0.1400 | 0.891 | 0.20200 | 0.000234 | 0.818 | 0.0521 | 7335491 | spotify:artist:31TPClRtHm23RisEBtV3X7 | Justin Timberlake | 83 | dance pop | pop | pop rap | None | None | None | None | None | None | None | None | None | None | None | None | None | None | None | None | None | None | None | None | None | None | None | None | None | None | None |
| 4 | spotify:track:1lzr43nnXAijIGYnCT8M8H | 227600 | 4 | 0 | 94.759 | 0.606 | 1 | -4.596 | 0.0713 | 0.853 | 0.05610 | 0.000000 | 0.654 | 0.3130 | 1043574 | spotify:artist:5EvFsr3kj42KNv97ZEnqij | Shaggy | 74 | dance pop | pop rap | reggae fusion | None | None | None | None | None | None | None | None | None | None | None | None | None | None | None | None | None | None | None | None | None | None | None | None | None | None | None |
In order to create the above table we used the following codes:
def create_spotipy_obj():
"""
Uses dbarjum's client id for DS Project
"""
SPOTIPY_CLIENT_ID = '54006da9bd7849b7906b944a7fa4e29d'
SPOTIPY_CLIENT_SECRET = 'f54ae294a30c4a99b2ff330a923cd6e3'
SPOTIPY_REDIRECT_URI = 'http://localhost/'
username = 'dbarjum'
scope = 'user-library-read'
token = util.prompt_for_user_token(username,scope,client_id=SPOTIPY_CLIENT_ID,
client_secret=SPOTIPY_CLIENT_SECRET,
redirect_uri=SPOTIPY_REDIRECT_URI)
client_credentials_manager = SpotifyClientCredentials(client_id=SPOTIPY_CLIENT_ID,
client_secret=SPOTIPY_CLIENT_SECRET, proxies=None)
sp = spotipy.Spotify(client_credentials_manager=client_credentials_manager)
return sp
sp = create_spotipy_obj()
def get_all_features(track_list = list, artist_list = list, sp=None):
"""
This function takes in a list of tracks and a list of artists, along
with a spotipy object and generates two lists of features from Spotify's API.
inputs:
1. track_list: list of all tracks to be included in dataframe
2. artist_list: list of all artists corresponding to tracks
3. sp: spotipy object to communicate with Spotify API
returns:
1. track_features: list of all features for each track in track_list
2. artist_features: list of all artist features for each artist in artist_list
"""
track_features = []
artist_features = []
track_iters = int(len(track_list)/50)
track_remainders = len(track_list)%50
start = 0
end = start+50
for i in range(track_iters):
track_features.extend(sp.audio_features(track_list[start:end]))
artist_features.extend(sp.artists(artist_list[start:end]).get('artists'))
start += 50
end = start+50
if track_remainders:
end = start + track_remainders
track_features.extend(sp.audio_features(track_list[start:end]))
artist_features.extend(sp.artists(artist_list[start:end]).get('artists'))
return track_features, artist_features
start_time = time.time()
t_features, a_features = get_all_features(track_uri, artist_uri, sp)
print("--- %s seconds ---" % (time.time() - start_time))
--- 313.6843388080597 seconds ---
def create_song_df(track_features=list, artist_features=list):
"""
This function takes in two lists of track and artist features, respectively,
and generates a dataframe of the features.
inputs:
1. track_features: list of all tracks including features
2. artist_features: list of all artists including features
returns:
1. df: a pandas dataframe of size (N, X) where N corresponds to the number of songs
in track_features, X is the number of features in the dataframe.
"""
import pandas as pd
selected_song_features = ['uri', 'duration_ms', 'time_signature', 'key',
'tempo', 'energy', 'mode', 'loudness', 'speechiness',
'danceability', 'acousticness', 'instrumentalness',
'valence', 'liveness']
selected_artist_features = ['followers', 'uri', 'name', 'popularity', 'genres']
col_names = ['song_uri', 'duration_ms', 'time_signature', 'key',
'tempo', 'energy', 'mode', 'loudness', 'speechiness',
'danceability', 'acousticness', 'instrumentalness',
'valence', 'liveness', 'artist_followers', 'artist_uri',
'artist_name', 'artist_popularity']
data = []
for i, j in zip(track_features, artist_features):
temp = []
for sf in selected_song_features:
temp.append(i.get(sf))
for af in selected_artist_features:
if af == 'followers':
temp.append(j.get('followers').get('total'))
elif af == 'genres':
for g in j.get('genres'):
temp.append(g)
else:
temp.append(j.get(af))
data.append(list(temp))
df = pd.DataFrame(data)
for i in range(len(df.columns)- len(col_names)):
col_names.append('g'+str(i+1))
df.columns = col_names
return df
songs_df = create_song_df(t_features, a_features)
songs_df.head()
songs_df.shape
(67503, 48)

When requesting track data from the API, each song request returns 18 track features. Similarily, when requesting artist data through the API, each request returns 10 features for each artist. Not all of the features returned from the API are useful for our analysis, for example, images from an album are not useful toward predicting a playlist. Therefore, from the 28 possible features that are returned by the Spotify API, we selected 19 to be used for EDA. A few of these 19 variables will not be used for modeling but are needed for tracking purposes. For example, we need to keep track of a song’s unique identifier in order to avoid suggesting that one song be added into a playlist that already contains that one song. Likewise, we may keep track of an artist’s unique identifier in case we want to request songs from a particular artist.
One of the features that we found interesting to explore and understand further is Spotify’s classification of artists into genres. Each artist can be classified as belonging to many genres, for example, an artist can be classified as belonging to a single genre, while another artist can be classified as belonging to 21 genres. Likewise, there are repeated genre classifications under different names, for example, some artists are classified as “k-pop” while others are classified under “Korean pop”; these two are the same.
In order to get around these issues, we decided to classify each song as belonging to only one of five possible macro genres: Rap, Pop, Rock, Pop Rock, and Other.
These categories were chosen upon a qualitative analysis of the genres provided by Spotify API for each song. The classification was done by use of the following logic:
•If rap, hiphop, r&b appeared as one of the genres for the song, that song was classified as “Rap”
•If both the words Rock and Pop appeared as genres for the song (eg: rock, dance rock, pop, dance pop), that song was classified as “Pop Rock”
•If the word Pop appeared as one of the genres for the song (eg: pop, dance pop), that song was classified as “Pop”
•If the word Rock appeared as one of the genres for the song (eg: rock, dance rock), that song was classified as “Rock”
•If none of the keywords defined above showed in the genres of the song, that song was classified as “Other”
After classifying the genres, we created a pandas dataframe of size Nx19 where N is the number of songs obtained and 19 is the number of features for each song in the dataframe. A screenshot of our database is presented below:
def genre_generator(songs_df):
# Defining genres to single genre
rap = ["rap","hiphop", "r&d"]
# finding position of g1 and last position of gX in columns, to use it later for assessingn genre of song
g1_index = 0
last_column_index = 0
column_names = songs_df.columns.values
for i in column_names:
if i == "g1":
break
g1_index += 1
for i in column_names:
last_column_index += 1
# loop to create gender for each song in dataframe
songs_df["genre"] = ""
for j in range(len(songs_df)):
# Creating list of genres for a given song
genres_row = list(songs_df.iloc[[j]][column_names[g1_index:last_column_index-1]].dropna(axis=1).values.flatten())
# genres_row = ['british invasion', 'merseybeat', 'psychedelic']
# classifing genre for the song
genre = "other"
if any("rock" in s for s in genres_row) and any("pop" in s for s in genres_row):
genre = "pop rock"
elif any("rock" in s for s in genres_row):
genre = "rock"
elif any("pop" in s for s in genres_row):
genre = "pop"
for i in rap:
if any(i in s for s in genres_row):
genre = "rap"
# giving column genre the classified genre for a given song
songs_df.set_value(j, 'genre', genre)
return songs_df
songs_df_new = genre_generator(songs_df)
songs_df_new.head()
| song_uri | duration_ms | time_signature | key | tempo | energy | mode | loudness | speechiness | danceability | acousticness | instrumentalness | valence | liveness | artist_followers | artist_uri | artist_name | artist_popularity | g1 | g2 | g3 | g4 | g5 | g6 | g7 | g8 | g9 | g10 | g11 | g12 | g13 | g14 | g15 | g16 | g17 | g18 | g19 | g20 | g21 | g22 | g23 | g24 | g25 | g26 | g27 | g28 | g29 | g30 | genre | |
|---|---|---|---|---|---|---|---|---|---|---|---|---|---|---|---|---|---|---|---|---|---|---|---|---|---|---|---|---|---|---|---|---|---|---|---|---|---|---|---|---|---|---|---|---|---|---|---|---|---|
| 0 | spotify:track:0UaMYEvWZi0ZqiDOoHU3YI | 226864 | 4 | 4 | 125.461 | 0.813 | 0 | -7.105 | 0.1210 | 0.904 | 0.03110 | 0.006970 | 0.810 | 0.0471 | 908087 | spotify:artist:2wIVse2owClT7go1WT98tk | Missy Elliott | 76 | dance pop | hip hop | hip pop | pop | pop rap | r&b | rap | southern hip hop | urban contemporary | None | None | None | None | None | None | None | None | None | None | None | None | None | None | None | None | None | None | None | None | None | rap |
| 1 | spotify:track:6I9VzXrHxO9rA9A5euc8Ak | 198800 | 4 | 5 | 143.040 | 0.838 | 0 | -3.914 | 0.1140 | 0.774 | 0.02490 | 0.025000 | 0.924 | 0.2420 | 5450023 | spotify:artist:26dSoYclwsYLMAKD3tpOr4 | Britney Spears | 82 | dance pop | pop | post-teen pop | None | None | None | None | None | None | None | None | None | None | None | None | None | None | None | None | None | None | None | None | None | None | None | None | None | None | None | pop |
| 2 | spotify:track:0WqIKmW4BTrj3eJFmnCKMv | 235933 | 4 | 2 | 99.259 | 0.758 | 0 | -6.583 | 0.2100 | 0.664 | 0.00238 | 0.000000 | 0.701 | 0.0598 | 16661148 | spotify:artist:6vWDO969PvNqNYHIOW5v0m | Beyoncé | 87 | dance pop | pop | post-teen pop | r&b | None | None | None | None | None | None | None | None | None | None | None | None | None | None | None | None | None | None | None | None | None | None | None | None | None | None | pop |
| 3 | spotify:track:1AWQoqb9bSvzTjaLralEkT | 267267 | 4 | 4 | 100.972 | 0.714 | 0 | -6.055 | 0.1400 | 0.891 | 0.20200 | 0.000234 | 0.818 | 0.0521 | 7335491 | spotify:artist:31TPClRtHm23RisEBtV3X7 | Justin Timberlake | 83 | dance pop | pop | pop rap | None | None | None | None | None | None | None | None | None | None | None | None | None | None | None | None | None | None | None | None | None | None | None | None | None | None | None | rap |
| 4 | spotify:track:1lzr43nnXAijIGYnCT8M8H | 227600 | 4 | 0 | 94.759 | 0.606 | 1 | -4.596 | 0.0713 | 0.853 | 0.05610 | 0.000000 | 0.654 | 0.3130 | 1043574 | spotify:artist:5EvFsr3kj42KNv97ZEnqij | Shaggy | 74 | dance pop | pop rap | reggae fusion | None | None | None | None | None | None | None | None | None | None | None | None | None | None | None | None | None | None | None | None | None | None | None | None | None | None | None | rap |
display(songs_df_new['genre'].value_counts())
display(songs_df_new['genre'].value_counts(normalize=True))
rap 19126
pop 14865
other 14699
pop rock 9888
rock 8925
Name: genre, dtype: int64
rap 0.283336
pop 0.220212
other 0.217753
pop rock 0.146482
rock 0.132216
Name: genre, dtype: float64
temp = songs_df_new.copy()
column_names_temp = songs_df_new.columns.values[18:-1]
temp = temp.drop(column_names_temp,axis=1)
feature_indexes = list(range(len(temp.columns)-1))
col_names_temp = ['duration_ms','time_signature','key','tempo','energy','loudness','speechiness','danceability','acousticness',
'instrumentalness', 'valence', 'liveness', 'artist_followers', 'artist_popularity' ]
temp.head()
| song_uri | duration_ms | time_signature | key | tempo | energy | mode | loudness | speechiness | danceability | acousticness | instrumentalness | valence | liveness | artist_followers | artist_uri | artist_name | artist_popularity | genre | |
|---|---|---|---|---|---|---|---|---|---|---|---|---|---|---|---|---|---|---|---|
| 0 | spotify:track:0UaMYEvWZi0ZqiDOoHU3YI | 226864 | 4 | 4 | 125.461 | 0.813 | 0 | -7.105 | 0.1210 | 0.904 | 0.03110 | 0.006970 | 0.810 | 0.0471 | 908087 | spotify:artist:2wIVse2owClT7go1WT98tk | Missy Elliott | 76 | rap |
| 1 | spotify:track:6I9VzXrHxO9rA9A5euc8Ak | 198800 | 4 | 5 | 143.040 | 0.838 | 0 | -3.914 | 0.1140 | 0.774 | 0.02490 | 0.025000 | 0.924 | 0.2420 | 5450023 | spotify:artist:26dSoYclwsYLMAKD3tpOr4 | Britney Spears | 82 | pop |
| 2 | spotify:track:0WqIKmW4BTrj3eJFmnCKMv | 235933 | 4 | 2 | 99.259 | 0.758 | 0 | -6.583 | 0.2100 | 0.664 | 0.00238 | 0.000000 | 0.701 | 0.0598 | 16661148 | spotify:artist:6vWDO969PvNqNYHIOW5v0m | Beyoncé | 87 | pop |
| 3 | spotify:track:1AWQoqb9bSvzTjaLralEkT | 267267 | 4 | 4 | 100.972 | 0.714 | 0 | -6.055 | 0.1400 | 0.891 | 0.20200 | 0.000234 | 0.818 | 0.0521 | 7335491 | spotify:artist:31TPClRtHm23RisEBtV3X7 | Justin Timberlake | 83 | rap |
| 4 | spotify:track:1lzr43nnXAijIGYnCT8M8H | 227600 | 4 | 0 | 94.759 | 0.606 | 1 | -4.596 | 0.0713 | 0.853 | 0.05610 | 0.000000 | 0.654 | 0.3130 | 1043574 | spotify:artist:5EvFsr3kj42KNv97ZEnqij | Shaggy | 74 | rap |
Finally, in order to deal with categorical variables, we used one-hot encoding techniques. For example, our categorization of genre had to be one-hot encoded in order to be able to utilize that variable for analysis.
Once data was gathered and cleaned for analysis, we proceeded into doing some data visualization and actual exploration.
We first generated a scatter matrix to get a quick understanding of the data. We found that there are a few correlations among variables (regardless of classes). For instance, energy (5th feature) seems to be positively correlated with loudness (7th feature), and negatively correlated with accousticness (10th feature). This gives us a hint that the predictive power of each of these pairs might change when these variables are considered together in our models.
### this code goes after @1
from pandas.plotting import scatter_matrix
smplot = scatter_matrix(temp, alpha=0.4, figsize=(40, 40), diagonal='kde')
[s.xaxis.label.set_rotation(45) for s in smplot.reshape(-1)]
[s.yaxis.label.set_rotation(0) for s in smplot.reshape(-1)]
[s.get_yaxis().set_label_coords(-0.3,0.5) for s in smplot.reshape(-1)]
[s.set_xticks(()) for s in smplot.reshape(-1)]
[s.set_yticks(()) for s in smplot.reshape(-1)]
plt.savefig('scatter_matrix.png')
plt.show()

After creating a scatter matrix of the variables, we decided to look at the distribution of the variables over 1000 songs. This step was not very informative, but of some interest was the following few distributions:
Artist followers – most artists have few followers, but there are a few artists that have a large number of followers.
def plot_dist_features(df, features, save=False, path=str):
"""
Plots the distribution of all features passed into the function and saves them
if save == True.
Arguments:
- df: the dataframe used to plot features
- features: the column names of the dataframe whose features are to be plot
- save: boolean indicating whether the plots are to be saved
- path: string indicating the path of where to save the features.
Return: None, just prints the distributions
"""
for i in features:
fig, axs = plt.subplots(1, figsize=(9,6))
sns.set(style='white', palette='deep')
x = df[i]
if i == 'duration_ms':
x = x/1000
sns.kdeplot(x, label = 'duration in seconds', shade=True).set_title("Distribution of Feature Duration")
else:
sns.kdeplot(x, label = i, shade=True).set_title("Distribution of Feature "+i)
if save:
filename='distribution_plot_'+i
fig.savefig(path+filename)
return
features_2_plot = set(list(temp.columns.values[0:18]))^set(['song_uri','artist_uri','artist_name'])
path = '/Users/danny_barjum/Dropbox/DS Project/05 - code/01 - EDA/fig/dists/'

Instrumentalness – this distribution shows that most songs have vocals (close to 0), but there are quite a few songs with no vocals (close to 1).

Song Duration – this was just placed out of curiosity that the vast majority of songs seem to last around 250 seconds (about 4 minutes).

We then decided to group songs by genre and look at the distribution of songs that fall under the five genres we created. The distribution of 1000 songs were as follows:
rap 27.2 %
pop 22.7 %
other 21.6 %
pop rock 14.9 %
rock 13.6 %
It appears that the most commonly occurring genre is rap, followed by pop.
We then looked at how each feature is distributed when grouped by genre (See appendix 1 at the end of the current page). A few findings of interest were danceability, energy and artist popularity (shown below). These seem like variables that we could use to discriminate between the genres.



col_names = temp.columns
fig, axs = plt.subplots(14)
fig.set_size_inches(20, 120)
sns.set(style='white', palette='deep',font_scale=1.5)
for i in range(len(col_names_temp)):
sns.distplot(temp.loc[temp['genre']=='pop'][col_names_temp[i]].values,kde_kws={"label": "pop"},ax = axs[i]).set_title(col_names_temp[i])#,hue=casual_mean_w.iloc[0:,1] ,data=casual_mean_w, style =casual_mean_w.iloc[0:,1] , markers=True, dashes=False,ax=ax1).set_title('how each weather category affects number of casual riders in different hour of a day')
sns.distplot(temp.loc[temp['genre']=='rock'][col_names_temp[i]].values,kde_kws={"label": "rock"},ax = axs[i]).set_title(col_names_temp[i]) #,hue=casual_mean_w.iloc[0:,1] ,data=casual_mean_w, style =casual_mean_w.iloc[0:,1] , markers=True, dashes=False,ax=ax1).set_title('how each weather category affects number of casual riders in different hour of a day')
sns.distplot(temp.loc[temp['genre']=='rap'][col_names_temp[i]].values,kde_kws={"label": "rap"},ax = axs[i]).set_title(col_names_temp[i]) #,hue=casual_mean_w.iloc[0:,1] ,data=casual_mean_w, style =casual_mean_w.iloc[0:,1] , markers=True, dashes=False,ax=ax1).set_title('how each weather category affects number of casual riders in different hour of a day')
sns.distplot(temp.loc[temp['genre']=='pop rock'][col_names_temp[i]].values,kde_kws={"label": "pop rock"},ax = axs[i]).set_title(col_names_temp[i]) #,hue=casual_mean_w.iloc[0:,1] ,data=casual_mean_w, style =casual_mean_w.iloc[0:,1] , markers=True, dashes=False,ax=ax1).set_title('how each weather category affects number of casual riders in different hour of a day')
sns.distplot(temp.loc[temp['genre']=='other'][col_names_temp[i]].values,kde_kws={"label": "other"},ax = axs[i]).set_title(col_names_temp[i]) #,hue=casual_mean_w.iloc[0:,1] ,data=casual_mean_w, style =casual_mean_w.iloc[0:,1] , markers=True, dashes=False,ax=ax1).set_title('how each weather category affects number of casual riders in different hour of a day')
fig.savefig('feature_hist.png')
songs_encoded = pd.get_dummies(temp,columns = ['genre'],drop_first=True)
songs_encoded .head()
| song_uri | duration_ms | time_signature | key | tempo | energy | mode | loudness | speechiness | danceability | acousticness | instrumentalness | valence | liveness | artist_followers | artist_uri | artist_name | artist_popularity | genre_pop | genre_pop rock | genre_rap | genre_rock | |
|---|---|---|---|---|---|---|---|---|---|---|---|---|---|---|---|---|---|---|---|---|---|---|
| 0 | spotify:track:0UaMYEvWZi0ZqiDOoHU3YI | 226864 | 4 | 4 | 125.461 | 0.813 | 0 | -7.105 | 0.1210 | 0.904 | 0.03110 | 0.006970 | 0.810 | 0.0471 | 900226 | spotify:artist:2wIVse2owClT7go1WT98tk | Missy Elliott | 76 | 0 | 0 | 1 | 0 |
| 1 | spotify:track:6I9VzXrHxO9rA9A5euc8Ak | 198800 | 4 | 5 | 143.040 | 0.838 | 0 | -3.914 | 0.1140 | 0.774 | 0.02490 | 0.025000 | 0.924 | 0.2420 | 5407311 | spotify:artist:26dSoYclwsYLMAKD3tpOr4 | Britney Spears | 81 | 1 | 0 | 0 | 0 |
| 2 | spotify:track:0WqIKmW4BTrj3eJFmnCKMv | 235933 | 4 | 2 | 99.259 | 0.758 | 0 | -6.583 | 0.2100 | 0.664 | 0.00238 | 0.000000 | 0.701 | 0.0598 | 16514236 | spotify:artist:6vWDO969PvNqNYHIOW5v0m | Beyoncé | 87 | 1 | 0 | 0 | 0 |
| 3 | spotify:track:1AWQoqb9bSvzTjaLralEkT | 267267 | 4 | 4 | 100.972 | 0.714 | 0 | -6.055 | 0.1400 | 0.891 | 0.20200 | 0.000234 | 0.818 | 0.0521 | 7281071 | spotify:artist:31TPClRtHm23RisEBtV3X7 | Justin Timberlake | 83 | 1 | 0 | 0 | 0 |
| 4 | spotify:track:1lzr43nnXAijIGYnCT8M8H | 227600 | 4 | 0 | 94.759 | 0.606 | 1 | -4.596 | 0.0713 | 0.853 | 0.05610 | 0.000000 | 0.654 | 0.3130 | 1036043 | spotify:artist:5EvFsr3kj42KNv97ZEnqij | Shaggy | 74 | 0 | 0 | 1 | 0 |
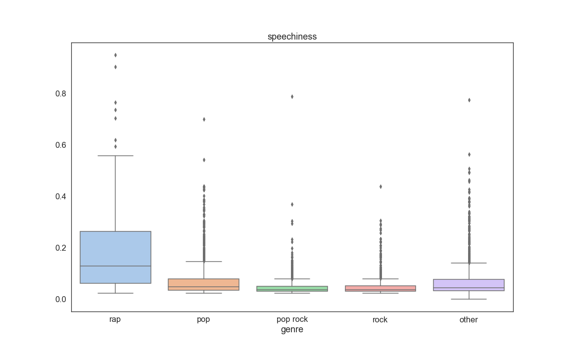
The Final step of our EDA consisted into looking at boxplots of each feature grouped by genre. The purpose of this was to also see if some variables stand out as being useful for prediction. From this analysis we discovered that a few informative variables are Speechness, Danceability, Log of instrumentalness, Artist followers, and Artist popularity:
for i in range(len(col_names_temp)):
fig, axs = plt.subplots(1)
fig.set_size_inches(16, 10)
sns.set(font_scale=1.5,style='white', palette='deep')
axs.set_yscale("log")
sns.boxplot(x = temp['genre'] , y=temp[col_names_temp[i]].values,palette='pastel').set_title(col_names_temp[i])
fig.savefig('feature_box_{}.png'.format(i))
fig, axs = plt.subplots(14)
fig.set_size_inches(20, 120)
sns.set(font_scale=1.5,style='white', palette='deep')
for i in range(len(col_names_temp)):
sns.violinplot(x = temp['genre'] , y=temp[col_names_temp[i]].values,ax = axs[i],showfliers=False).set_title(col_names_temp[i])#,hue=casual_mean_w.iloc[0:,1] ,data=casual_mean_w, style =casual_mean_w.iloc[0:,1] , markers=True, dashes=False,ax=ax1).set_title('how each weather category affects number of casual riders in different hour of a day')
fig.savefig('feature_violin.png')




Appendix 1
